الأخبار

وكالة انباء براثا تنشر نتائج انتخابات جميع المحافظات العراقية


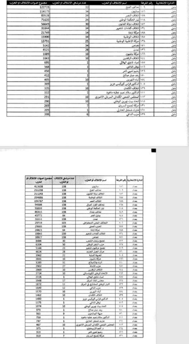
تنشر وكالة انباء براثا النتائج الاولية للانتخابات التشريعية لجميع المحافظات العراقية بما فيها اقليم كوردستان.

 

اشترك في قناة وكالة انباء براثا على التلجرام
https://telegram.me/buratha
اضف تعليقك
الاسم والنص والتحقق من الروبوت ضروري
التعليقات
ايوب عصمت محمد
2018-05-16
كان يجب على المفوضية عدم نشر نتائج انتخابات كركوك بسبب التزوير الذي حصل لصالح الاتحاد الوطني الكردستاني وكان يجب عليها شطب هذه الكتلة من الانتخابات حسب الدستور العراقي ولكن تبين بان المفوضية مسيسة وغير مستقلة كما تدعي واليوم بدا عصيان مدني في كركوك لان التركمان والعرب اغلبية في كركوك ووقع عليهم ظلم السياسيين السراق الذين جعلوا كركوك سلعة بأيدييهم تشترى وتباع.
الاسعار الرسمية للعملات مقابل الدينار
التعليقات
طاهر باقر : انا استغرب لماذا لابد ان يقدم شاب عراقي على الانتحار من اجل مسألة تافهة مثل هذه القضية ...
الموضوع :
انتحار طالب بعد عودته من الامتحان في واسط
باقر : والنعم من النواصب الدواعش والجولاني ..... والنعم من اتباع الصحابة ...
الموضوع :
الاردن يطرد عدد من اطفال غزة المصابين وعوائلهم بحجة ان الاردن مفلس
علي : السلام عليكم ورحمة الله وبركاته نتمنى من أدارة المطار أن تسمح بدخول السيارات لأستقبال المسافر لأن نحن ...
الموضوع :
وزارة النقل تعلن قرب افتتاح ساحة النقل الخاص بمطار بغداد الدولي
الحسين بن علي : الحفيد للجد السعيد ياجد عُد فكلنا اشتقنا لرؤياك وضحكة محياك ياعذب الماء ...
الموضوع :
صورة لاسد المقاومة الاسلامية سماحة السيد حسن نصر الله مع حفيده الرضيع تثير مواقع التواصل
باقر : انت غلطان وتسوق الاوهام.... حثالات الأرض هم أهالي تكريت والانبار وديالى والموصل.... ...
الموضوع :
حماقة البعث والوجه الآخر لتكريت.
ضياء عبد الرضا طاهر : حبيبي ھذا الارھابي محمد الجولاني ھو مثل جورج دبليوا بوش الصغير وترامب صعد وصار رئيس واستقبال حافل ...
الموضوع :
صورة للارهابي ابو محمد الجولاني عندما كان معتقلا في سجن بوكا عام 2005
----خلف ناصر عبد الله : اتمنى لكم التوفيق والسداد بحوث روعه غيتها اعلاء اعلام دين الله سبحانه:؟ ...
الموضوع :
تفسير "هذا صراطُ عليٍّ مستقيم" (الحجر: 41)
منير حجازي : العلاقات التي تربط البرزانيين بالكيان الصهيونية علاقات قديمة يطمح الاكراد من خلالها أن يساعدهم اليهود على إنشاء ...
الموضوع :
النائب مصطفى سند يُحرك شكوى ضد ممثل حكومة كردستان في المانيا دلشاد بارزاني بعد مشاركته احتفال في سفارة الكيان الصهيوني
منير حجازي : الاخت الفاضلة حياكم الله نقلتي قول (أنطوان بارا) في كتابه الحسين في الفكر المسيحي وهو يعقد مقارنة ...
الموضوع :
الحسين في قلب المسيح
ولي : بعد سنوات اليوم يقبل ابناء عنيفص منفذ المقابر الجماعية بحق الانتفاضة الشعبانية ١٩٩١ في الكلية العسكرية بينما ...
الموضوع :
محكمة جنايات بابل تحكم باعدام الارهابي رائد عنيفص العلواني قاتل 26 مواطنا ودفنهم في حديقة داره ببابل
فيسبوك